臭氧脫色實驗流程和實驗步驟
臭氧已被廣泛應用于水處理行業,效果也非常顯著。本文介紹臭氧脫色實驗的目的,實驗裝置、實驗流程和實驗步驟。
一、實驗目的
1、了解臭氧制備的工藝流程及裝置;
2、測定染色廢水用臭氧脫色的效果;
3、考察水力停留時間(HRT)、臭氧投加量對脫色效果的影響;
4、掌握臭氧發生器的操作方法和臭氧用于水處理的實驗方法。
二、實驗裝置
1、實驗系統:包括制氧機、臭氧發生器、臭氧投配氣水接觸三部分。實驗流程如圖一所示。
1制氧機;2臭氧發生器;3反應柱;4原水箱;5水泵
6液體流量計;7鈦板;8尾氣吸收瓶;9測量瓶;10煤氣表
11冷卻水進口;12泄水閥;13出水取樣口;14原水取樣口
圖一臭氧脫色實驗流程圖
2、流程說明:
i.制氧機:作為產生臭氧的氣源。
ii.臭氧發生器:其原理及構造見教材。實驗裝置為單管(也可用多管或其他形式)發生器。
iii.接觸反應柱:供臭氧與水接觸反應用(氣液逆向接觸)。柱外境d=60毫米,內徑d內=50毫米,柱高h=2米。布氣板為微孔擴散板(材料為金屬鈦,孔徑15~20微米),使氣泡小而分散。
iv.水箱及水泵,提供實驗水樣。
3、儀器設備
i.在臭氧發生器上除有測定進氣的流量計及壓力表外,還有供臭氧發生器的電源控制用的變頻變壓器。
ii.為了控制臭氧的濃度和產量,設有測定臭氧濃度的吸收和滴定裝置(即吸收瓶、煤氣表和化學滴定儀器或
臭氧濃度測定儀)。
iii.在接觸反應柱設有轉子流量計,以及測定進氣和尾氣中臭氧濃度的裝置,以了解臭氧的投加量和利用率。
iv.尾氣用KI(或Na2S2O3)進行吸收,以防止污染。
三、實驗水樣
可用生產裝置的原水樣進行實驗,也可用染料廢水與自來水配制成一種或多種不同色度的水樣進行實驗。
四、實驗步驟
1.熟悉裝置流程、儀器設備和管路系統,并檢查連接是否完好。
2.開啟電源,開啟制氧機開關,將制氧機出口氣體流量為____L/min,此時出口壓力為____ MPa。
3.通臭氧發生器的冷卻用水。
4.水保護和氣體保護警示燈熄滅后,開啟臭氧發生器啟動開關。
5.將變頻變壓器分別調到50V、75V、100V、125V、150V和175V,測定臭氧濃度,并繪出電壓與臭氧濃度關系曲線。
6.將配好的水樣用水泵打入水箱并進入反應柱內,打開反應柱的排水閥門,使柱內維持____ m水柱高度,控制流量在 ____ L/h,即停留時間為 ____ min。
7.調節變頻變壓器,穩定后使接觸反應柱內脫色高度約為水柱高度的一半。此時變頻變壓器電壓為____V,計算臭氧濃度為 ____mg/L,臭氧投加量為____ mgO3/L水,并測定進水和出水色度、進柱臭氧和柱頂尾氣臭氧濃度。
8.維持氣體流量和臭氧投加量不變,改變(增加和減少各一次)停留時間到 ____min,此時進水流量為____L/h,計算臭氧濃度為 ____mg/L,計算變頻電壓器電壓為____V,觀察脫色效果并并測定進水和出水色度、進柱臭氧和柱頂尾氣臭氧濃度。
9.實驗完畢后,首先停發生器的電源(先降壓、再停電),然后停冷卻水, 很后再停氣源,并關閉有關閥門。
五、實驗報告要求
1.畫出實驗裝置流程圖,填好實驗紀錄表。
2.綜合實驗結果,整理實驗紀錄,對水處理效果從水深、接觸時間、投加量、臭氧濃度進行綜合評價,提出 很佳設計參數。
3.提出實驗改進意見、建議。
六、實驗紀錄參考格式
染色廢水臭氧脫色實驗紀錄及匯總表 反應柱內徑D=50mm
|
水樣編號 |
|
|
染料品種或名稱 |
|
|
柱內水深(m) |
|
|
接觸時間(min) |
|
|
|
|
進水流量(L/h) |
|
|
|
|
進氣流量(L/h) |
標準狀態QN |
|
|
流量計表示Q表 |
|
臭氧投加量(mg/L水) |
計算投加 |
|
|
實際投加 |
|
|
|
|
脫色消耗 |
|
|
|
|
變頻電壓器電壓(V) |
|
|
|
臭氧濃度(mg/L) |
計算濃度 |
|
|
|
|
實測濃度 |
|
|
|
|
尾氣濃度 |
|
|
|
水質紀錄(mg/L) |
進水濃度 |
|
|
出水濃度 |
|
|
|
|
去除率(%) |
|
|
|
|
臭氧利用率(%) |
|
|
|
七、注意事項
做本實驗,首先要注意安全,尤其高壓電8000~20000V很危險。要防止臭氧污染。而且本實驗使用的設備裝置很多。因此必須做到:
1.實驗前熟悉講義內容和實驗裝置,不清楚時,不許亂動。
2.通電后,制氧機和臭氧發生器后蓋不準打開。
3.尾氣需用KI(或Na
2S
2O
3)進行吸收。若泄漏的臭氧濃度過高,要停機檢查,防止對人體產生危害。
4.實驗過程中各崗位的人不許離開,密切配合,并隨時注意各處運行情況。若有某處發生問題,不要慌亂,首先停發生器的電源,然后再做其他處理。
附 錄
一、臭氧濃度的測定和計算
-
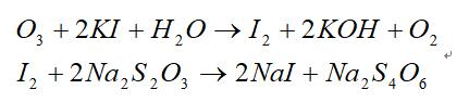
方法原理:一般采用化學碘量法。利用臭氧與碘化鉀的氧化還原反應,置換出與臭氧等當量的碘。再用硫代硫酸鈉與碘作用,以淀粉為指示劑,待完全反應生成無色碘化鈉。根據硫代硫酸鈉的消耗量計算出臭氧濃度。其化學反應方程式如下:
-
試劑:
-
20%碘化鉀溶液:稱200g碘化鉀溶于800ml蒸餾水中。
-
6N的H2SO4溶液:以N1V1=N2V2公式計算配制。或取96%濃硫酸167ml,慢慢倒入833ml蒸餾水中。
-
0.1000N的Na2S2O3標準溶液:配制及標定方法見《水分析方法》教材145頁。
-
1%淀粉指示劑:取1g淀粉溶解于100ml煮沸冷卻的蒸餾水中,過濾后備用。
-
臭氧濃度測定步驟:
-
用量筒將20ml濃度為20%的碘化鉀溶液加入到氣體吸收瓶中,然后加入250ml蒸餾水搖勻。
-
從取樣口通入臭氧化空氣(控制轉子流量計讀數為500ml/min),用濕式煤氣表計取氣樣2L,平行取兩個樣。
-
取樣后,向氣體吸收瓶中加5ml6N的H2SO4,搖勻后靜置5min。
-
用0.1000N的Na2S2O3滴定,待溶液呈淡黃色時,加濃度為1%淀粉指示劑數滴使溶液呈蘭褐色,繼續使用0.1000N的Na2S2O3滴定至無色。記下Na2S2O3用量。
-
臭氧濃度計算:
式中: N
2、V
2―Na
2S
2O
3的當量濃度(0.1000N)和滴定用量(ml)
V
1―臭氧取樣體積(2L)
C―臭氧濃度(mg/L)
二、臭氧產量的計算
-
臭氧發生器(或反應塔)進氣量計算:

式中: Q
N―標準狀態下的氣體流量(Nm
3/h)
Q
表―壓力狀態下的氣體流量(m
3/h)(即氣體流量計的顯示值)
P
表―壓力表讀數(大氣壓)
-
臭氧產量(或投加量)計算:

式中: C、Q
N同前
x―臭氧產量(或投加量)(g/h或mg/min)